Mplus code for mediation, moderation, and moderated mediation models

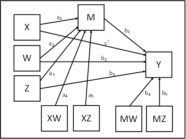
Model 75: 1 or more mediators, in parallel if multiple (example uses 1), 2 moderators, both moderating both the IV- Mediator path and the Mediator-DV path

Example Variables: 1 predictor X, 1 mediator M, 2 moderators W, Z, 1 outcome Y

Preliminary notes:

The code below assumes that

  • The primary IV (variable X) is continuous or dichotomous.
  • Any moderators (variables W, V, Q, Z) are continuous, though the only adaptation required to handle dichotomous moderators is in the MODEL CONSTRAINT: and loop plot code - an example of how to do this is given in model 1b. Handling categorical moderators with > 2 categories is demonstrated in model 1d.
  • Any mediators (variable M, or M1, M2, etc.) are continuous and satisfy the assumptions of standard multiple regression. An example of how to handle a dichotomous mediator is given in model 4c.
  • The DV (variable Y) is continuous and satisfies the assumptions of standard multiple regression - an example of how to handle a dichotomous DV is given in model 1e (i.e. a moderated logistic regression) and in model 4d (i.e. an indirect effect in a logistic regression).

 

Model Diagram:

 

Statistical Diagram:

 

Model Equation(s):

Y = b0 + b1M + b2W + b3Z + b4MW + b5MZ + c'X
M = a0 + a1X + a2W + a3Z + a4XW + a5XZ

 

Algebra to calculate indirect and/or conditional effects by writing model as Y = a + bX:

Y = b0 + b1M + b2W + b3Z + b4MW + b5MZ + c'X
M = a0 + a1X + a2W + a3Z + a4XW + a5XZ


Hence... substituting in equation for M

Y = b0 + b1(a0 + a1X + a2W + a3Z + a4XW + a5XZ) + b2W + b3Z + b4(a0 + a1X + a2W + a3Z + a4XW + a5XZ)W + b5(a0 + a1X + a2W + a3Z + a4XW + a5XZ)Z + c'X


Hence... multiplying out brackets

Y = b0 + a0b1 + a1b1X + a2b1W + a3b1Z + a4b1XW + a5b1XZ + b2W + b3Z + a0b4W + a1b4XW + a2b4WW + a3b4ZW + a4b4XWW + a5b4XZW + a0b5Z + a1b5XZ + a2b5WZ + a3b5ZZ + a4b5XWZ + a5b5XZZ + c'X


Hence... grouping terms into form Y = a + bX

Y = (b0 + a0b1 + a2b1W + a3b1Z + b2W + b3Z + a0b4W + a2b4WW + a3b4ZW + a0b5Z + a2b5WZ + a3b5ZZ) + (a1b1 + a4b1W + a5b1Z + a1b4W + a4b4WW + a5b4ZW + a1b5Z + a4b5WZ + a5b5ZZ + c')X


Hence...

One indirect effect(s) of X on Y, conditional on W, Z:

a1b1 + a4b1W + a5b1Z + a1b4W + a4b4WW + a5b4ZW + a1b5Z + a4b5WZ + a5b5ZZ = (a1 + a4W + a5Z)(b1 + b4W + b5Z)

One direct effect of X on Y:

c'

 

Mplus code for the model:

! Predictor variable - X
! Mediator variable(s) – M
! Moderator variable(s) – W, Z
! Outcome variable - Y

USEVARIABLES = X M W Z Y XW XZ MW MZ;

! Create interaction terms
! Note that they have to be placed at end of USEVARIABLES subcommand above

DEFINE:
   MW = M*W;
   MZ = M*Z;
   XW = X*W;
   XZ = X*Z;

ANALYSIS:
   TYPE = GENERAL;
   ESTIMATOR = ML;
   BOOTSTRAP = 10000;

! In model statement name each path and intercept using parentheses

MODEL:
   [Y] (b0);
   Y ON M (b1);
   Y ON W (b2);
   Y ON Z (b3);
   Y ON MW (b4);
   Y ON MZ (b5);

   Y ON X(cdash);

   [M] (a0);
   M ON X (a1);
   M ON W (a2);
   M ON Z (a3);
   M ON XW (a4);
   M ON XZ (a5);

! Use model constraint subcommand to test conditional indirect effects
! You need to pick low, medium and high moderator values for W, Z
! for example, of 1 SD below mean, mean, 1 SD above mean

! 2 moderators, 3 values for each, gives 9 combinations
! arbitrary naming convention for conditional indirect and total effects used below:
! MEV_LOQ = medium value of V and low value of Q, etc.

MODEL CONSTRAINT:
    NEW(LOW_W MED_W HIGH_W LOW_Z MED_Z HIGH_Z
    ILOW_LOZ IMEW_LOZ IHIW_LOZ ILOW_MEZ IMEW_MEZ IHIW_MEZ
    ILOW_HIZ IMEW_HIZ IHIW_HIZ
    TLOW_LOZ TMEW_LOZ THIW_LOZ TLOW_MEZ TMEW_MEZ THIW_MEZ
    TLOW_HIZ TMEW_HIZ THIW_HIZ);

    LOW_W = #LOWW;   ! replace #LOWW in the code with your chosen low value of W
    MED_W = #MEDW;   ! replace #MEDW in the code with your chosen medium value of W
    HIGH_W = #HIGHW;   ! replace #HIGHW in the code with your chosen high value of W

    LOW_Z = #LOWZ;   ! replace #LOWZ in the code with your chosen low value of Z
    MED_Z = #MEDZ;   ! replace #MEDZ in the code with your chosen medium value of Z
    HIGH_Z = #HIGHZ;   ! replace #HIGHZ in the code with your chosen high value of Z

! Calc conditional indirect effects for each combination of moderator values

    ILOW_LOZ = a1*b1 + a4*b1*LOW_W + a5*b1*LOW_Z + a1*b4*LOW_W +
     a4*b4*LOW_W*LOW_W + a5*b4*LOW_Z*LOW_W + a1*b5*LOW_Z +
     a4*b5*LOW_W*LOW_Z + a5*b5*LOW_Z*LOW_Z;
    IMEW_LOZ = a1*b1 + a4*b1*MED_W + a5*b1*LOW_Z + a1*b4*MED_W +
     a4*b4*MED_W*MED_W + a5*b4*LOW_Z*MED_W + a1*b5*LOW_Z +
     a4*b5*MED_W*LOW_Z + a5*b5*LOW_Z*LOW_Z;
    IHIW_LOZ = a1*b1 + a4*b1*HIGH_W + a5*b1*LOW_Z + a1*b4*HIGH_W +
     a4*b4*HIGH_W*HIGH_W + a5*b4*LOW_Z*HIGH_W + a1*b5*LOW_Z +
     a4*b5*HIGH_W*LOW_Z + a5*b5*LOW_Z*LOW_Z;

    ILOW_MEZ = a1*b1 + a4*b1*LOW_W + a5*b1*MED_Z + a1*b4*LOW_W +
     a4*b4*LOW_W*LOW_W + a5*b4*MED_Z*LOW_W + a1*b5*MED_Z +
     a4*b5*LOW_W*MED_Z + a5*b5*MED_Z*MED_Z;
    IMEW_MEZ = a1*b1 + a4*b1*MED_W + a5*b1*MED_Z + a1*b4*MED_W +
     a4*b4*MED_W*MED_W + a5*b4*MED_Z*MED_W + a1*b5*MED_Z +
     a4*b5*MED_W*MED_Z + a5*b5*MED_Z*MED_Z;
    IHIW_MEZ = a1*b1 + a4*b1*HIGH_W + a5*b1*MED_Z + a1*b4*HIGH_W +
     a4*b4*HIGH_W*HIGH_W + a5*b4*MED_Z*HIGH_W + a1*b5*MED_Z +
     a4*b5*HIGH_W*MED_Z + a5*b5*MED_Z*MED_Z;

    ILOW_HIZ = a1*b1 + a4*b1*LOW_W + a5*b1*HIGH_Z + a1*b4*LOW_W +
     a4*b4*LOW_W*LOW_W + a5*b4*HIGH_Z*LOW_W + a1*b5*HIGH_Z +
     a4*b5*LOW_W*HIGH_Z + a5*b5*HIGH_Z*HIGH_Z;
    IMEW_HIZ = a1*b1 + a4*b1*MED_W + a5*b1*HIGH_Z + a1*b4*MED_W +
     a4*b4*MED_W*MED_W + a5*b4*HIGH_Z*MED_W + a1*b5*HIGH_Z +
     a4*b5*MED_W*HIGH_Z + a5*b5*HIGH_Z*HIGH_Z;
    IHIW_HIZ = a1*b1 + a4*b1*HIGH_W + a5*b1*HIGH_Z + a1*b4*HIGH_W +
     a4*b4*HIGH_W*HIGH_W + a5*b4*HIGH_Z*HIGH_W + a1*b5*HIGH_Z +
     a4*b5*HIGH_W*HIGH_Z + a5*b5*HIGH_Z*HIGH_Z;

! Calc conditional total effects for each combination of moderator values

    TLOW_LOZ = ILOW_LOZ + cdash;
    TMEW_LOZ = IMEW_LOZ + cdash;
    THIW_LOZ = IHIW_LOZ + cdash;

    TLOW_MEZ = ILOW_MEZ + cdash;
    TMEW_MEZ = IMEW_MEZ + cdash;
    THIW_MEZ = IHIW_MEZ + cdash;

    TLOW_HIZ = ILOW_HIZ + cdash;
    TMEW_HIZ = IMEW_HIZ + cdash;
    THIW_HIZ = IHIW_HIZ + cdash;

! Use loop plot to plot conditional indirect effect of X on Y for each combination of low, med, high moderator values
! Could be edited to show conditional direct or conditional total effects instead
! NOTE - values of 1,5 in LOOP() statement need to be replaced by
! logical min and max limits of predictor X used in analysis

    PLOT(PLOW_LOZ PMEW_LOZ PHIW_LOZ PLOW_MEZ PMEW_MEZ PHIW_MEZ
    PLOW_HIZ PMEW_HIZ PHIW_HIZ);

    LOOP(XVAL,1,5,0.1);

    PLOW_LOZ = ILOW_LOZ*XVAL;
    PMEW_LOZ = IMEW_LOZ*XVAL;
    PHIW_LOZ = IHIW_LOZ*XVAL;

    PLOW_MEZ = ILOW_MEZ*XVAL;
    PMEW_MEZ = IMEW_MEZ*XVAL;
    PHIW_MEZ = IHIW_MEZ*XVAL;

    PLOW_HIZ = ILOW_HIZ*XVAL;
    PMEW_HIZ = IMEW_HIZ*XVAL;
    PHIW_HIZ = IHIW_HIZ*XVAL;

PLOT:
   TYPE = plot2;

OUTPUT:
   STAND CINT(bcbootstrap);

 

Return to Model Template index.

To cite this page and/or any code used, please use:
Stride C.B., Gardner S., Catley. N. & Thomas, F.(2015) 'Mplus code for the mediation, moderation, and moderated mediation model templates from Andrew Hayes' PROCESS analysis examples' , http://www.figureitout.org.uk

Home
Statistical Consultancy
Data Management
Public Training Courses
Inhouse & Bespoke Training
Links & Resources
About Us & Contact Details